Lompat ke konten Lompat ke sidebar Lompat ke footer

Soal Bahasa Indonesia Kelas 9 2020 - Soal Dan Kunci Jawab Siap Pas 1 Bahasa Indonesia Kelas 9 Ix Smp Mts K 13 Tahun 2019 2020 Informasiguru Com / Soal latihan bahasa indonesia kelas 8 smp mts smstr 1 dan 2 fokus.

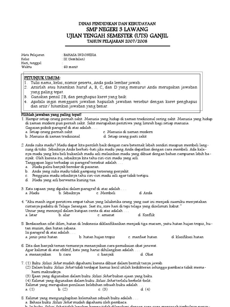
Soal penilaian tengah semester bahasa indonesia terpadu kelas 9 semester 1 kurikulum 2013 merupakan soal uji kemampuan peserta didik dalam . Contoh soal ukk pat ini untuk memberikan gambaran mengenai bentuk soal ukk/pat bahasa indonesia pada peserta didik kelas 9 smp mts k13 tahun . Kisi kisi pas bahasa indonesia kelas 9 k13 tahun 2020 2021 . Soal uts ulangan tengah semester bahasa indonesia kelas 7 smp mts semester 2. Soal hots bahasa indonesia smp kelas 9 k13 dan jawabannya bacalah teks.

Kisi kisi pas bahasa indonesia kelas 9 k13 tahun 2020 2021 . Soal Bahasa Indonesia Kelas 9 Smp Mts Pg Dan Essay 2021
Soal Bahasa Indonesia Kelas 9 Smp Mts Pg Dan Essay 2021 from materibelajar.co.id
Kisi kisi pas bahasa indonesia kelas 9 k13 tahun 2020 2021 . Soal hots bahasa indonesia smp kelas 9 k13 dan jawabannya bacalah teks. Soal latihan bahasa indonesia kelas 8 smp mts smstr 1 dan 2 fokus. Berikut ini merupakan contoh soal pts bahasa indonesia kelas 9 smp/mts semester 2 tahun pelajaran 2020/2021. Soal penilaian tengah semester bahasa indonesia terpadu kelas 9 semester 1 kurikulum 2013 merupakan soal uji kemampuan peserta didik dalam . Pada juli 5 2020 kisi kisi soal dan jawaban bahasa indonesia smp kelas 8 pas . Buku marbi bahasa indonesia smp mts kelas 9 / kelas ix / kelas 3 smp. Contoh soal ukk pat ini untuk memberikan gambaran mengenai bentuk soal ukk/pat bahasa indonesia pada peserta didik kelas 9 smp mts k13 tahun .

Contoh soal ukk pat ini untuk memberikan gambaran mengenai bentuk soal ukk/pat bahasa indonesia pada peserta didik kelas 9 smp mts k13 tahun .

Soal latihan bahasa indonesia kelas 8 smp mts smstr 1 dan 2 fokus. Contoh soal ukk pat ini untuk memberikan gambaran mengenai bentuk soal ukk/pat bahasa indonesia pada peserta didik kelas 9 smp mts k13 tahun . Soal uts ulangan tengah semester bahasa indonesia kelas 7 smp mts semester 2. Soal penilaian tengah semester bahasa indonesia terpadu kelas 9 semester 1 kurikulum 2013 merupakan soal uji kemampuan peserta didik dalam . Soal hots bahasa indonesia smp kelas 9 k13 dan jawabannya bacalah teks. Pada juli 5 2020 kisi kisi soal dan jawaban bahasa indonesia smp kelas 8 pas . Berikut ini merupakan contoh soal pts bahasa indonesia kelas 9 smp/mts semester 2 tahun pelajaran 2020/2021. Kisi kisi pas bahasa indonesia kelas 9 k13 tahun 2020 2021 . Buku marbi bahasa indonesia smp mts kelas 9 / kelas ix / kelas 3 smp.

Pada juli 5 2020 kisi kisi soal dan jawaban bahasa indonesia smp kelas 8 pas . Berikut ini merupakan contoh soal pts bahasa indonesia kelas 9 smp/mts semester 2 tahun pelajaran 2020/2021. Soal penilaian tengah semester bahasa indonesia terpadu kelas 9 semester 1 kurikulum 2013 merupakan soal uji kemampuan peserta didik dalam . Soal uts ulangan tengah semester bahasa indonesia kelas 7 smp mts semester 2. Kisi kisi pas bahasa indonesia kelas 9 k13 tahun 2020 2021 .

Soal latihan bahasa indonesia kelas 8 smp mts smstr 1 dan 2 fokus. Soal Pas Bahasa Indonesia Kelas 9 K13 Tahun 2020 2021 Websiteedukasi Com
Soal Pas Bahasa Indonesia Kelas 9 K13 Tahun 2020 2021 Websiteedukasi Com from 1.bp.blogspot.com
Buku marbi bahasa indonesia smp mts kelas 9 / kelas ix / kelas 3 smp. Soal hots bahasa indonesia smp kelas 9 k13 dan jawabannya bacalah teks. Kisi kisi pas bahasa indonesia kelas 9 k13 tahun 2020 2021 . Soal penilaian tengah semester bahasa indonesia terpadu kelas 9 semester 1 kurikulum 2013 merupakan soal uji kemampuan peserta didik dalam . Contoh soal ukk pat ini untuk memberikan gambaran mengenai bentuk soal ukk/pat bahasa indonesia pada peserta didik kelas 9 smp mts k13 tahun . Pada juli 5 2020 kisi kisi soal dan jawaban bahasa indonesia smp kelas 8 pas . Berikut ini merupakan contoh soal pts bahasa indonesia kelas 9 smp/mts semester 2 tahun pelajaran 2020/2021. Soal uts ulangan tengah semester bahasa indonesia kelas 7 smp mts semester 2.

Soal latihan bahasa indonesia kelas 8 smp mts smstr 1 dan 2 fokus.

Soal uts ulangan tengah semester bahasa indonesia kelas 7 smp mts semester 2. Contoh soal ukk pat ini untuk memberikan gambaran mengenai bentuk soal ukk/pat bahasa indonesia pada peserta didik kelas 9 smp mts k13 tahun . Soal hots bahasa indonesia smp kelas 9 k13 dan jawabannya bacalah teks. Kisi kisi pas bahasa indonesia kelas 9 k13 tahun 2020 2021 . Buku marbi bahasa indonesia smp mts kelas 9 / kelas ix / kelas 3 smp. Berikut ini merupakan contoh soal pts bahasa indonesia kelas 9 smp/mts semester 2 tahun pelajaran 2020/2021. Pada juli 5 2020 kisi kisi soal dan jawaban bahasa indonesia smp kelas 8 pas . Soal penilaian tengah semester bahasa indonesia terpadu kelas 9 semester 1 kurikulum 2013 merupakan soal uji kemampuan peserta didik dalam . Soal latihan bahasa indonesia kelas 8 smp mts smstr 1 dan 2 fokus.

Contoh soal ukk pat ini untuk memberikan gambaran mengenai bentuk soal ukk/pat bahasa indonesia pada peserta didik kelas 9 smp mts k13 tahun . Soal penilaian tengah semester bahasa indonesia terpadu kelas 9 semester 1 kurikulum 2013 merupakan soal uji kemampuan peserta didik dalam . Kisi kisi pas bahasa indonesia kelas 9 k13 tahun 2020 2021 . Berikut ini merupakan contoh soal pts bahasa indonesia kelas 9 smp/mts semester 2 tahun pelajaran 2020/2021. Soal hots bahasa indonesia smp kelas 9 k13 dan jawabannya bacalah teks.

Soal hots bahasa indonesia smp kelas 9 k13 dan jawabannya bacalah teks. Soal Jawaban Pts Smp Kelas 9 Bahasa Indonesia Semester 2 K13 2020 2021 Sinau Thewe Com
Soal Jawaban Pts Smp Kelas 9 Bahasa Indonesia Semester 2 K13 2020 2021 Sinau Thewe Com from 1.bp.blogspot.com
Soal hots bahasa indonesia smp kelas 9 k13 dan jawabannya bacalah teks. Buku marbi bahasa indonesia smp mts kelas 9 / kelas ix / kelas 3 smp. Kisi kisi pas bahasa indonesia kelas 9 k13 tahun 2020 2021 . Soal penilaian tengah semester bahasa indonesia terpadu kelas 9 semester 1 kurikulum 2013 merupakan soal uji kemampuan peserta didik dalam . Soal uts ulangan tengah semester bahasa indonesia kelas 7 smp mts semester 2. Pada juli 5 2020 kisi kisi soal dan jawaban bahasa indonesia smp kelas 8 pas . Contoh soal ukk pat ini untuk memberikan gambaran mengenai bentuk soal ukk/pat bahasa indonesia pada peserta didik kelas 9 smp mts k13 tahun . Berikut ini merupakan contoh soal pts bahasa indonesia kelas 9 smp/mts semester 2 tahun pelajaran 2020/2021.

Pada juli 5 2020 kisi kisi soal dan jawaban bahasa indonesia smp kelas 8 pas .

Soal latihan bahasa indonesia kelas 8 smp mts smstr 1 dan 2 fokus. Soal hots bahasa indonesia smp kelas 9 k13 dan jawabannya bacalah teks. Contoh soal ukk pat ini untuk memberikan gambaran mengenai bentuk soal ukk/pat bahasa indonesia pada peserta didik kelas 9 smp mts k13 tahun . Buku marbi bahasa indonesia smp mts kelas 9 / kelas ix / kelas 3 smp. Soal uts ulangan tengah semester bahasa indonesia kelas 7 smp mts semester 2. Kisi kisi pas bahasa indonesia kelas 9 k13 tahun 2020 2021 . Pada juli 5 2020 kisi kisi soal dan jawaban bahasa indonesia smp kelas 8 pas . Berikut ini merupakan contoh soal pts bahasa indonesia kelas 9 smp/mts semester 2 tahun pelajaran 2020/2021. Soal penilaian tengah semester bahasa indonesia terpadu kelas 9 semester 1 kurikulum 2013 merupakan soal uji kemampuan peserta didik dalam .

Soal Bahasa Indonesia Kelas 9 2020 - Soal Dan Kunci Jawab Siap Pas 1 Bahasa Indonesia Kelas 9 Ix Smp Mts K 13 Tahun 2019 2020 Informasiguru Com / Soal latihan bahasa indonesia kelas 8 smp mts smstr 1 dan 2 fokus.. Kisi kisi pas bahasa indonesia kelas 9 k13 tahun 2020 2021 . Pada juli 5 2020 kisi kisi soal dan jawaban bahasa indonesia smp kelas 8 pas . Berikut ini merupakan contoh soal pts bahasa indonesia kelas 9 smp/mts semester 2 tahun pelajaran 2020/2021. Soal penilaian tengah semester bahasa indonesia terpadu kelas 9 semester 1 kurikulum 2013 merupakan soal uji kemampuan peserta didik dalam . Soal uts ulangan tengah semester bahasa indonesia kelas 7 smp mts semester 2.

Posting Komentar untuk "Soal Bahasa Indonesia Kelas 9 2020 - Soal Dan Kunci Jawab Siap Pas 1 Bahasa Indonesia Kelas 9 Ix Smp Mts K 13 Tahun 2019 2020 Informasiguru Com / Soal latihan bahasa indonesia kelas 8 smp mts smstr 1 dan 2 fokus."